руский таджикиский силовар

руский таджикиский силовар


Видео: руский таджикиский силовар

RuTube

channel68072944

Опубликовано: 11.10.2025 | Продолжительность: 00:00:13


руский таджикиский силовар ,

Категория видео: Обучение


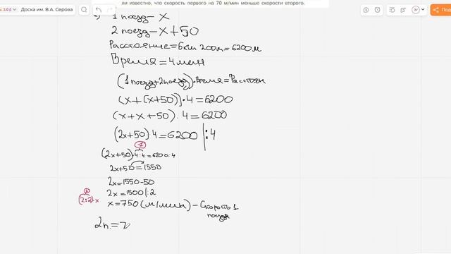
Задания 2.167 - 2.170
Смотреть
Математики, вперед!
  2025-10-11 в 06:28:10
Arzongo
Смотреть
Channel68072944
  2025-10-04 в 23:16:11
Аарти Шри Матаджи
Смотреть
Jay Shri Mataji Её Святейшество Шри Матаджи
  2025-10-11 в 06:50:19
Задание 4.141
Смотреть
Математики, вперед!
  2025-10-11 в 06:29:11
ОПИСАНИЕ КАК ВЯЗАТЬ ВАРЕЖКИ 💥
Смотреть
Натали Вяжет Стильно
  2025-10-11 в 06:31:31
Задание 4.142
Смотреть
Математики, вперед!
  2025-10-11 в 06:30:38
Значение слова БОГ
Смотреть
Профориентация
Смотреть
АНО ДПО "НЦПИКК"
  2025-10-11 в 06:26:54
Задание 230
Смотреть
Математики, вперед!
  2025-10-11 в 06:26:25
Утренний фимиам 715
Смотреть
1.3446 сек.